TESTING AND MEASURING Effect of Temperature on the Stress Softening and Damping Behavior of Phenyl-Vinyl-Methyl-Polysiloxane (PVMQ) Elastomers 

Von Oğuzhan Örnek, Ferah Özkan Bayrak, Bursa, Davut Aksüt, Murat Şen, Ankara, Türkiye 1 min Lesedauer

Anbieter zum Thema

This study aimed to identify the effect of temperature and co-agent type on the stress softening, energy dissipation, and damping properties of phenyl-methyl-polysiloxane (PVMQ) elastomers prepared with a peroxide curing system. We identified that temperature and type of the co-agent are two critical parameters controlling the damping properties of polymers and a decrease in temperature decrease of the damping capacity of silicone elastomer

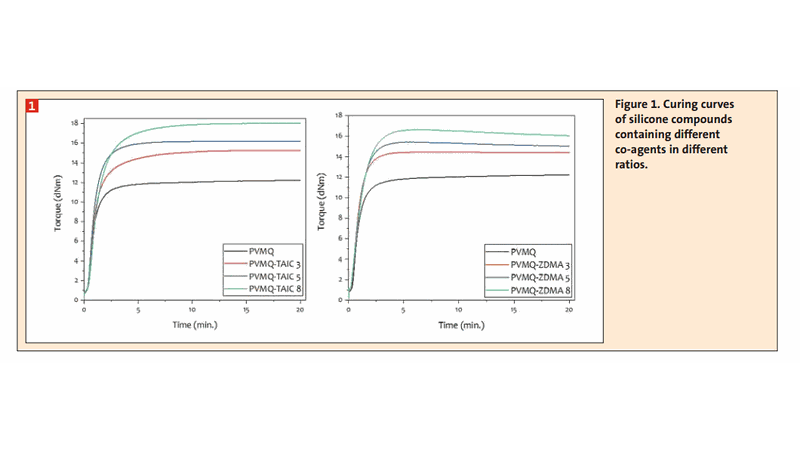
Figure 1. Curing curves of silicone compounds containing different co-agents in different ratios.(Bild:)
Figure 1. Curing curves of silicone compounds containing different co-agents in different ratios.
(Bild:)

Since Dr. Frederick S. Kipping’s synthesis of the silicon-carbon compound called ″silicone″ in 1943, many different silicones have begun to be commercially produced. This polymer has become an indispensable part of our modern lives. This silicone material has become popular in automotive, food handling, electronic, medical, and construction applications in the decades since its debut.[1] This popularity is primarily because silicone has a broad working temperature range, allowing it to handle high and low extremes. Silicone products also exhibit good weather and chemical resistance levels, making them ideal for outdoor and industrial use.